Parish Council Meetings
The Parish Council meets at the Village Hall, normally on the second Monday of the month.
Meetings normally start at 7.00pm. The Agenda and Minutes are available on the Village Website.
This year, our Annual Parish Assembly meeting will take place on 13th May 2026 at 18:30.Please see the agenda.
The Parish Council welcomes residents at council meetings which are normally held every month except August. You may listen but if you wish to address the council at the beginning of the meeting please email Nicola Rice, Clerk to the Parish Council in advance of the meeting.
Parish Council Minutes can be downloaded below:
2026
- May
- Annual Parish Assembly Reports -
- Chairs Report 2026,
- Highways,
- Ward Councillors Report 2026.
- Financials
- April
- March
- February
- Janaury
2025
- December
- November (PDF)
- October (PDF)
- September (PDF)
- Notice of Conclusion 2024-2025 (Word)
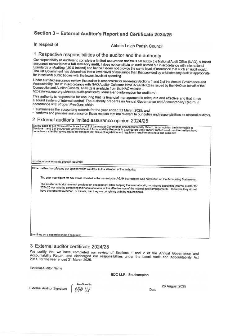
- AGAR Abbots Leigh 2024-2024 Pt1 (PNG)
- AGAR Abbots Leigh 2024-2024 Pt2 (JPEG)
- AGAR Abbots Leigh 2024-2024 Pt3 (JPEG)
- July (PDF)
- June (PDF)
- Restate AGAR Accounting Statement 2023/2024 (JPEG)
- May
- April (PDF)
- March (PDF)
- February (PDF)
- January (PDF)
2024
- December (PDF)
- November (PDF)
- October (PDF)
- AGAR Abbots Leigh 2024 (PDF)
- Notice of conclusion 2024 (Word)
- September (PDF)
- August
- July (PDF)
- June (PDF)
- AGAR notice (Word)
- May (PDF)
- April (PDF)
- March (PDF)
- February (PDF)
- January (PDF)
2023
- Notice of Conclusion of Audit 2022-2023
- Governance & Accountability Statements and Auditor's Report & Certificate 2022-2023
- NSC Community Infrastructure Levy Report 2022-2023
- December
- November
- October
- September
- August
- July
- June
- May
- April
- Receipts & Payments April 2023
- March
- February
- January
2022
- External Audit Report 2021-2022
- AGAR Statements 20212-2022
- Notice of Audit and Right to Inspect
- December
- Receipts & Payments December 2022
- November
- Receipts & Payments November 2022
- October
- September
- July
- June
- May
- April
- Annual Parish Meeting 2022
- March
- February
- January
2021
2020
2019
- January
- February
- March
- April
- May
- Annual Parish Meeting
- Chairman's Report
- June
- July
- September
- October
- November
- December
2018
- January
- February
- March
- April
- May (Annual Parish Meeting)
- May
- June
- July
- September
- October
- November
- December
- Chair's Report 2018
- Notice of Conclusion of Audit 2018
- Annual Governance & Accounting Statements 2018
- External Auditor Report & Certificate 2018
2017
- January
- February
- March
- April
- May
- Annual Meeting 2017
- Chair's Report 2017
- June
- July
- September
- October
- November
- December
Statutory Documents